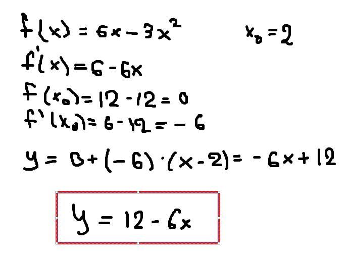
Написать уравнение касательной к графику функции у=f(x) в точке с абсциссой х0, если
2) f(x)=6x-3x^2,x0=2
Ответы
Ответ дал:
1
Ответ:
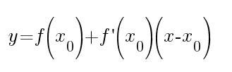
Объяснение: уравнение касательной задается по формуле ниже, где X0-точка касания
Приложения:


yajup:
а в конце y= там 0?
Вас заинтересует
2 года назад
2 года назад
2 года назад
7 лет назад