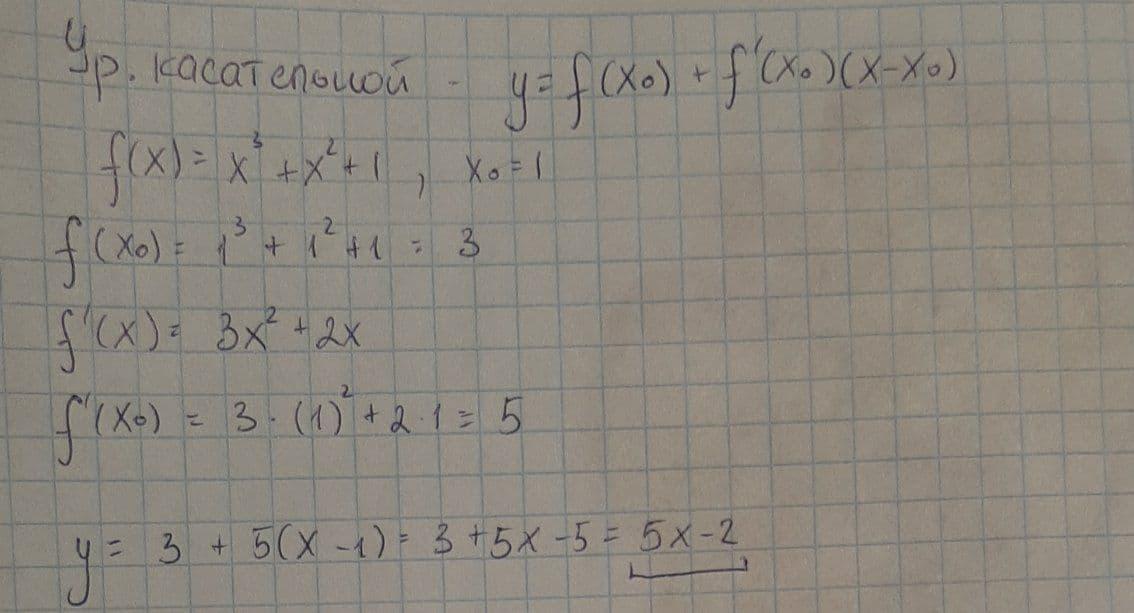
Написать уравнение касательной к графику функции у=f(x) в точке с абсциссой х0, если
1) f(x)=x^3+x^2+1, x0=1
Ответы
Ответ дал:
1
Ответ прикрепил на фото ниже
Приложения:
Вас заинтересует
2 года назад
2 года назад
3 года назад
3 года назад
8 лет назад
8 лет назад
9 лет назад
9 лет назад