• Предмет: Математика
  • Автор: getlowwboss
  • Вопрос задан 3 года назад

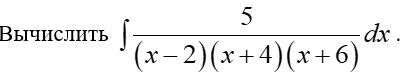
Математика, требуется вычислить

Приложения:

Ответы

Ответ дал: IUV
1

Ответ:

Пошаговое объяснение:

есть чудесный метод , называется метод неопределенных коэффициентов

но мне лень и я решил те же коэффициенты подсчитать по другому

5/((x-2)(x+4)(x+6)) = A/(x-2)+B/(x+4)+C/(x+6)

поднимите руку кому не лениво вычислять А В С в лоб.

вижу что негусто, поэтому схитрю

при х->2 выражение сильно стремится к бесконечности и ведет себя как

5/((x-2)(x+4)(x+6)) = 5/((x-2)(2+4)(2+6))=5/48 * 1/(x-2)

Вы заметили что мы только что вычислили А ???

при х->-4 выражение сильно стремится к бесконечности и ведет себя как

5/((x-2)(x+4)(x+6)) = 5/((-4-2)(х+4)(-4+6))=-5/12 * 1/(х+4)

при х->-6 выражение сильно стремится к бесконечности и ведет себя как

5/((x-2)(x+4)(x+6)) = 5/((-6-2)(-6+4)(x+6))=5/16 * 1/(x+6)

конечный оtвет  

5/48*ln(|x-2|) - 5/12*ln(|х+4|) + 5/16 *ln(|x+6|) + const


ExPeD25: хорошо я задам лёгкую задачу она будет 10 баллов. вы тогда сможете мне помочь?
Вас заинтересует