Срочно
Написать уравнение касательной к графику функции у=f(x) в точке с абсциссой х0, если
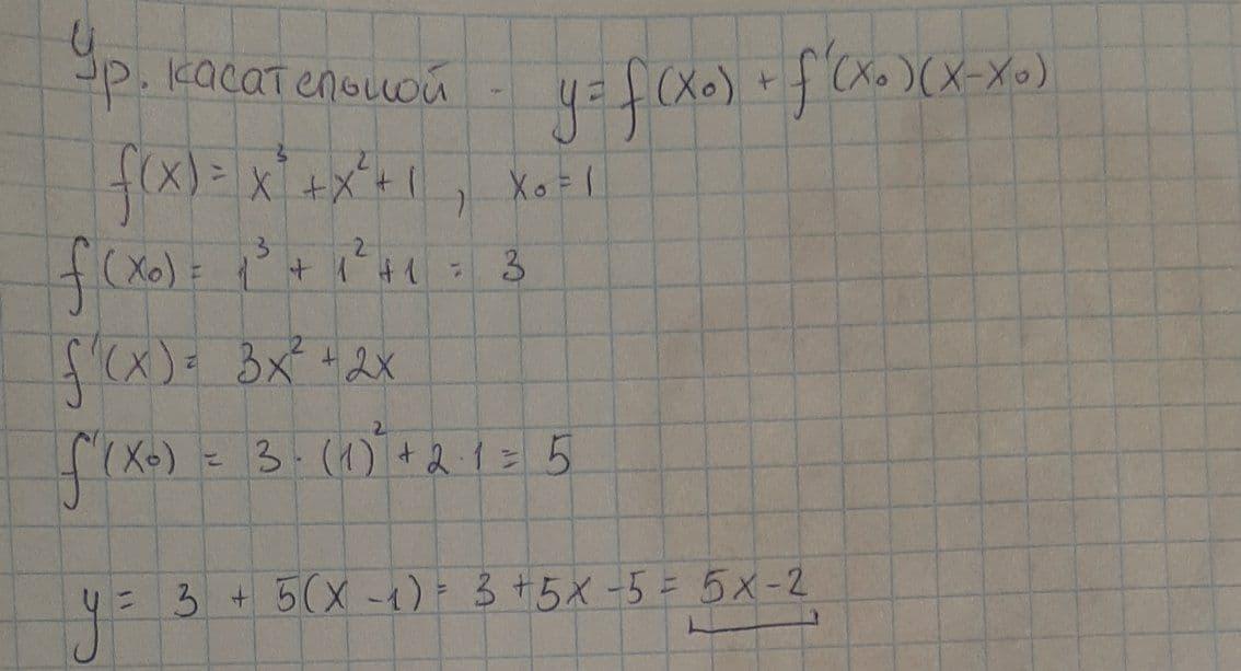
1) f(x)=x^3+x^2+1, x0=1
Ответы
Ответ дал:
0
Ответ прикрепил на фото ниже
Приложения:

Вас заинтересует
2 года назад
2 года назад
2 года назад
2 года назад
7 лет назад
9 лет назад