• Предмет: Математика
  • Автор: velflklffllpofoilg
  • Вопрос задан 3 года назад

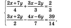
Решить систему уравнений

Приложения:

Ответы

Ответ дал: timetocook420
0

\frac{9x}{2} + \frac{13y}{4} = 2 \\x + 2y = 6 \\\frac{23y}{4} = 25 => y = 100/23\\x = 6 - 200/23 = 62/23


velflklffllpofoilg: точно верно?
Вас заинтересует