• Предмет: Алгебра
  • Автор: ksen24cnogmailcom
  • Вопрос задан 3 года назад

представте в виде куба двучлена многочлены (33.6)
ДАЮ 20 БАЛЛОВ

Приложения:

Naruutoo: 1. (а-2б)³
2) (3m+n)³
3) (2р+3q)³
4) (xy - 2) ^3

Ответы

Ответ дал: mathkot
5

Ответ:

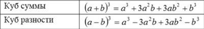
Смотрите фотографии!!!

Объяснение:

На фотография ответы и формулы сокращенного умножения!

Приложения:
Вас заинтересует