Ответы
Ответ дал:
2
Объяснение:
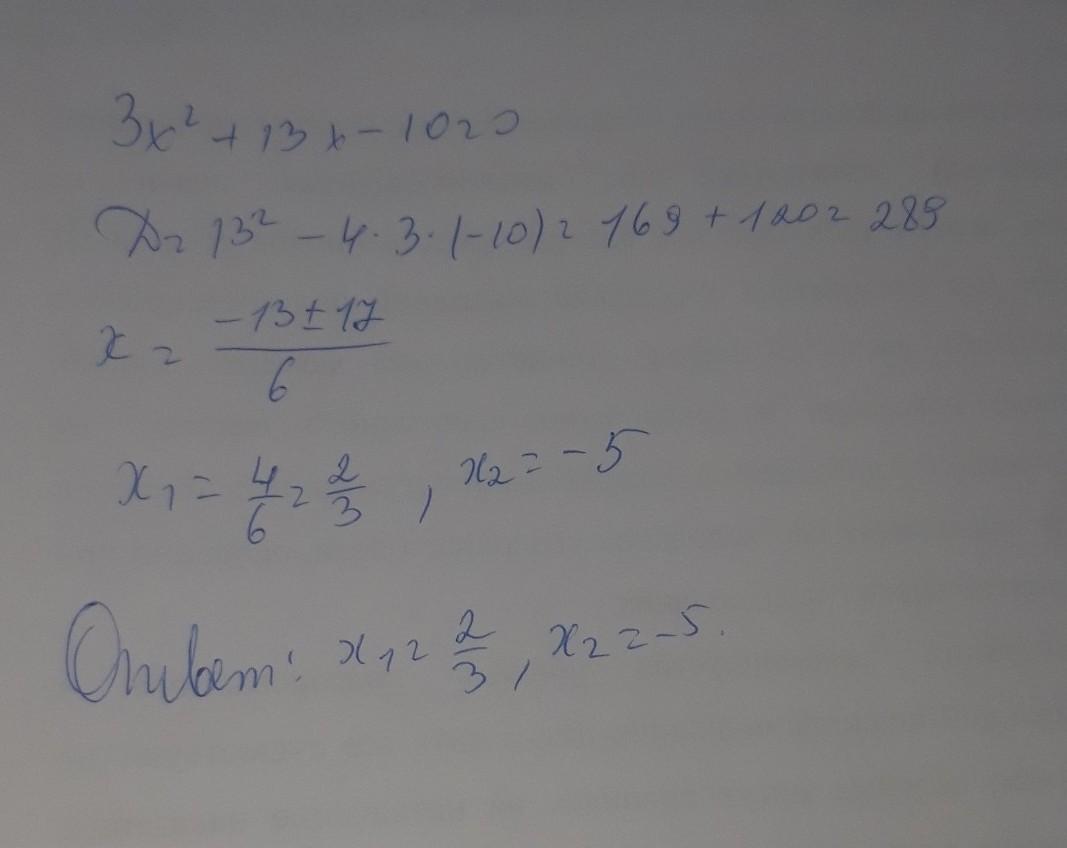
решение на фото.........
Приложения:

Вас заинтересует
2 года назад
2 года назад
2 года назад
8 лет назад
8 лет назад
9 лет назад
9 лет назад