• Предмет: Алгебра
  • Автор: busterjunior2
  • Вопрос задан 3 года назад

С полным решением пожалуйста

Приложения:

Ответы

Ответ дал: sstavridka
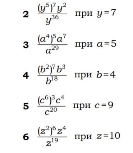
1

Ответ:

1

 {y}^{5 \times 7 + 2 - 36}  =  {y}^{1}  = 7

2

 {a}^{4 \times 5 + 7 - 29 =  {a}^{ - 2} }  =  \frac{1}{ {a}^{2} }  =  \frac{1}{25}  =  \frac{4}{100}  = 0.04

3

 {b}^{2 \times 7 + 3 - 18}  =  {b}^{ - 1}  =  \frac{1}{b}  =  \frac{1}{4}  = 0.25

4

 {c}^{6 \times 3 + 4 - 20}  =  {c}^{2}  = 81

5

 {z}^{2 \times 6 + 4 - 19}  =  {z}^{ - 3}  =  \frac{1}{ {z}^{3} }  =  \frac{1}{10000}  = 0.0001

Ответ дал: anna171770
1

Ответ:

Объяснение:

2. = (y³⁵*y²)/y³⁶ = y³⁷/y³⁶ = y¹ = 7¹ = 7

3. = (a²⁰*a⁷)/a²⁹ = a²⁷/a²⁹ = a⁻² = 5⁻² = 0.04

4. = (b¹⁴*b³)/b¹⁸ = b¹⁷/b¹⁸ = b⁻¹ = 4⁻¹ = 0.25

5. = (c¹⁸*c⁴)/c²⁰ = c²²/c²⁰ = c² = 9² = 81

6. = (z¹²*z⁴)/z¹⁹ = z¹⁶/z¹⁹ = z⁻³ = 10⁻³ = 0.001

Вас заинтересует