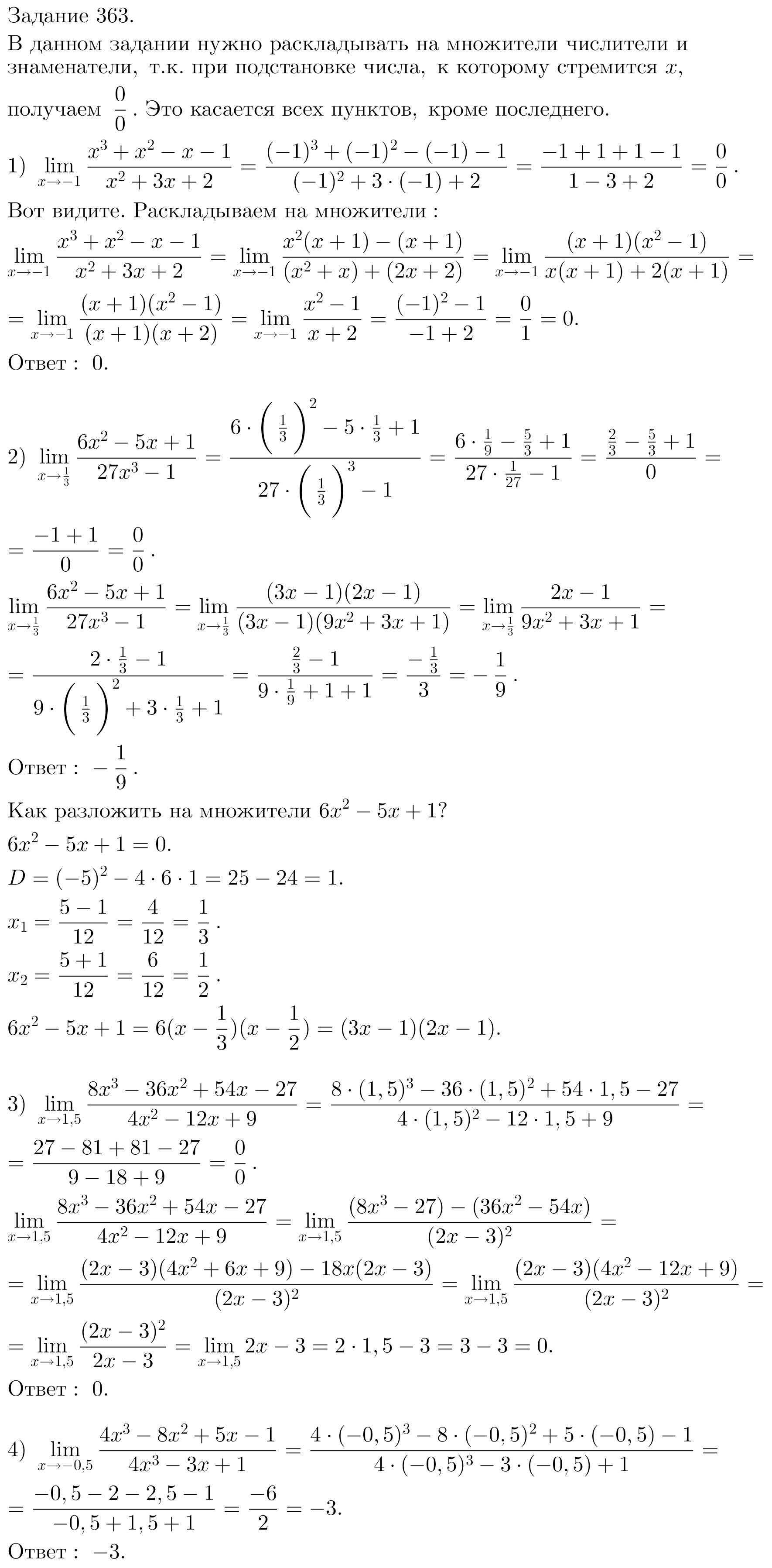
363 есеп керек еді....................
Приложения:

meruertsegizbai:
10 сынып
Ответы
Ответ дал:
3
~~~~~~~~~~~~~~~~~~~~
Приложения:

Вас заинтересует
2 года назад
2 года назад
2 года назад
2 года назад
8 лет назад
9 лет назад
9 лет назад