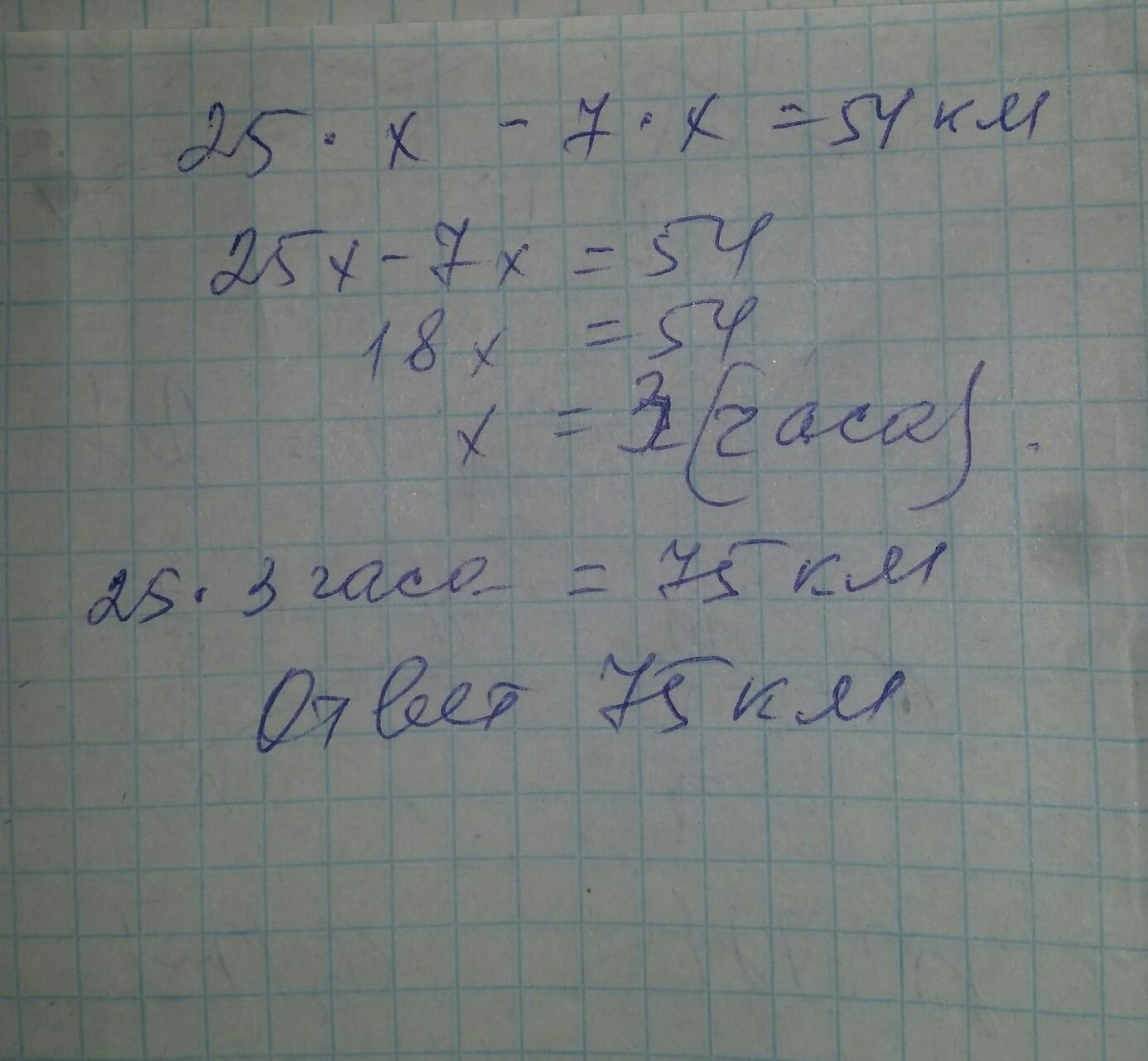
лодка и катер. Скорость катера – 25 км/ч, а лодки — 7 км/ч.
Реши задачу.
2
от двух лодочных станций, расстояние между которыми состав-
ляет 54 км, отправились одновременно в одном направлении
через некоторое время катер догнал лодку. Найди расстояние,
пройденное катером.
и =
= 25 км/ч
S=? км
54 км
и, = 7 км/ч
                        
                                    Приложения:
                    
                            Ответы
                                            Ответ дал: 
                                                                                            
                                                    
                                                
                                                                                    
                                        
                                            
                                                
                                                
                                                
                                                    4
                                                
                                            
                                        
                                    Ответ:
решение смотри на фотографии
Приложения:
                    
                            
                    seruimovakristina:
                    это правильно?
                
            
                    
                    нет
                
            
                                            Ответ дал: 
                                                                                    
                                        
                                            
                                                
                                                
                                                
                                                    6
                                                
                                            
                                        
                                    Ответ:
25-7=18 54÷18=3 3×25=75 54+75=129
                    
                    это верно правильно?
                
            
                    
                    если не правильно подскажите пж
                
            
                    
                    Ко
                
            
                    
                    Зел
                
            
                    
                    Сц ка
                
            
                    
                    Чу ка
                
            
                    
                    Су ка
                
            
                    
                    это правильно?
                
            
                    
                    Это правильно спс
                
            
                    
                    только вот это 54+74=129 это не надо было писать а так всё правильно!
                
            Вас заинтересует
                
                        2 года назад
                    
                
                        2 года назад
                    
                
                        2 года назад
                    
                
                        8 лет назад
                    
                
                        8 лет назад
                    
                
                        9 лет назад