Ответы
Ответ дал:
1
Ответ:
Объяснение:
..........................
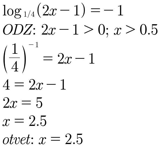
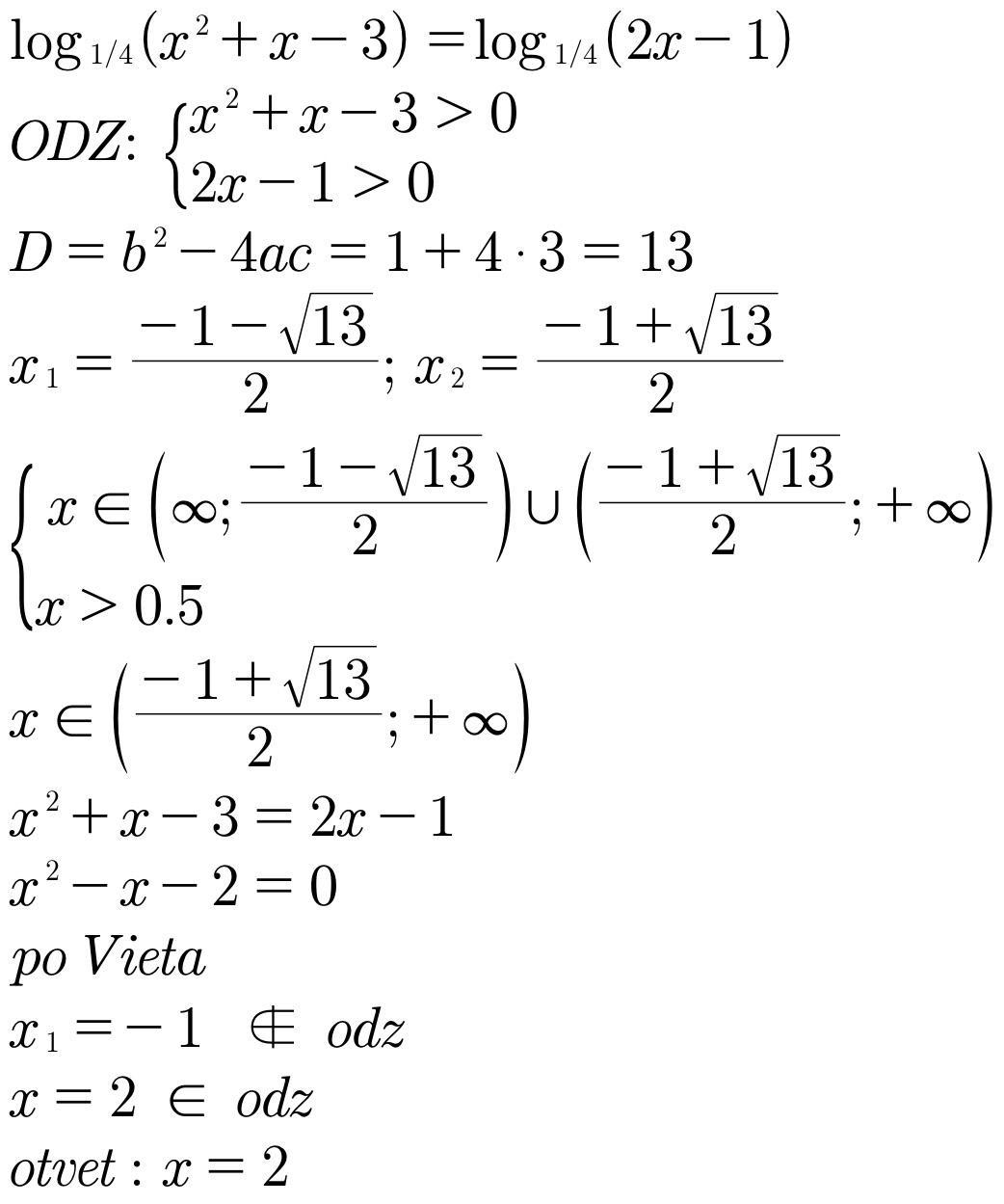
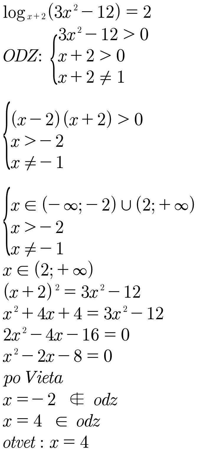
Приложения:



Вас заинтересует
2 года назад
2 года назад
2 года назад
8 лет назад
9 лет назад
9 лет назад