• Предмет: Математика
  • Автор: Saftar632
  • Вопрос задан 3 года назад

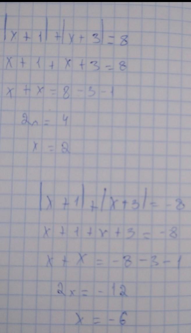
|x+1|+|x+3|=8

Срочно!!

Ответы

Ответ дал: Аноним
2

Ответ:

~~~~~~~~~~~~~~~~~~~~~

Приложения:
Вас заинтересует