• Предмет: Алгебра
  • Автор: m9040837
  • Вопрос задан 3 года назад

помогите, пожалуйста

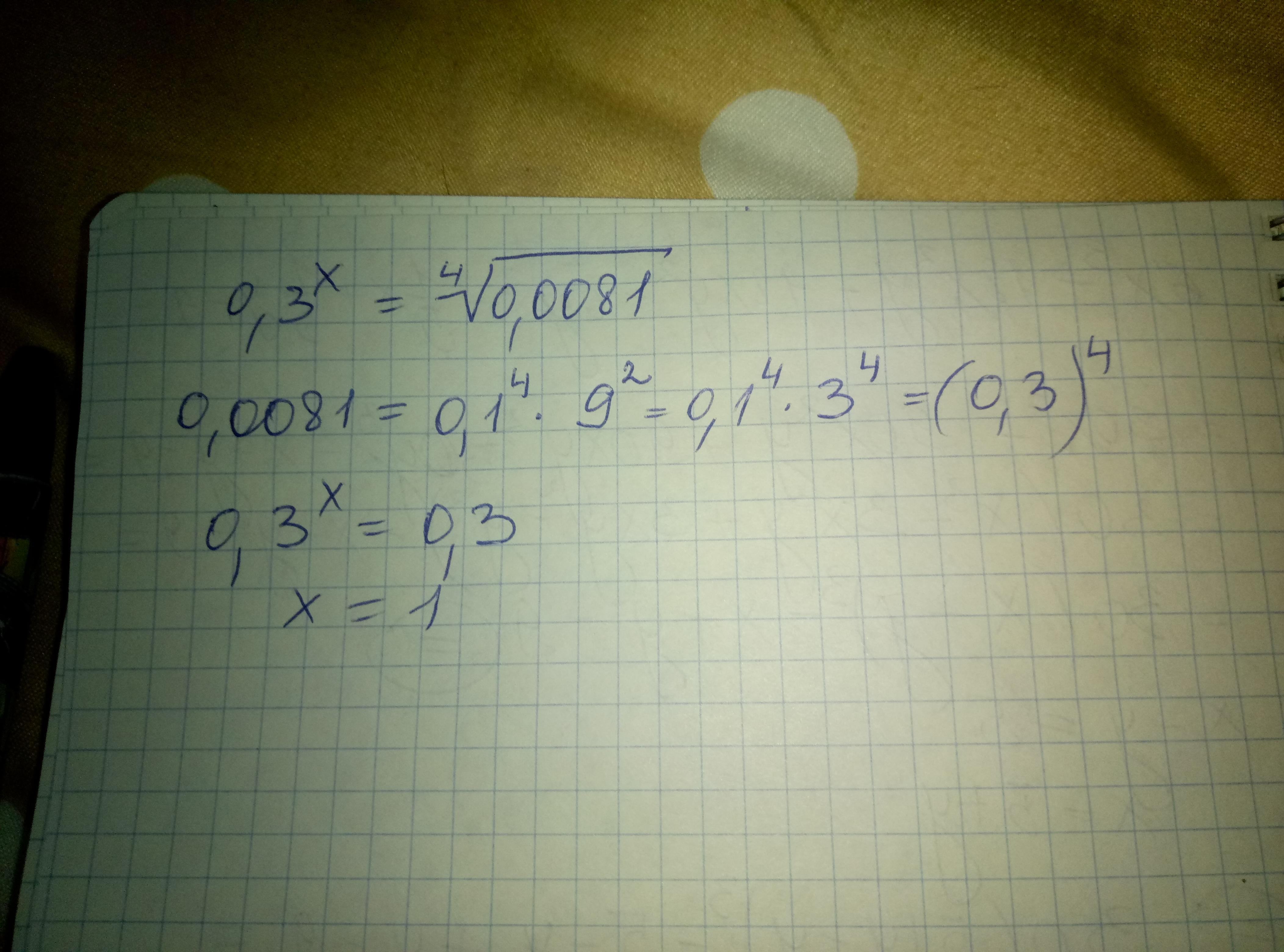
0,3^x = 4 корня из 0,0081
с решением!​

Приложения:

Ответы

Ответ дал: elizavetanikitina98
3

Ответ:

1

Объяснение:

см. фото. Разложила 0.0081 на множители, и оказалось, что это 0.3 в четвёртой степени

Приложения:

m9040837: спасибо
Вас заинтересует