• Предмет: Математика
  • Автор: naominarutovna
  • Вопрос задан 3 года назад

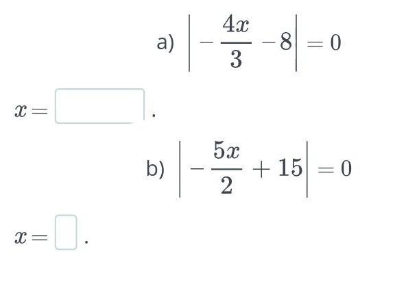
теңдеуді шеш
пж помогите

Приложения:

Ответы

Ответ дал: vinapolo33
1

Ответ:

ттттттттттттттттттттттттт. т. ииит.

Приложения:

naominarutovna: это правильно?
vinapolo33: да
naominarutovna: спасибо большое
Ответ дал: kpop68
0

Ответ:

|0|=0

Пошаговое объяснение:

■●●{○{○■○>○>○♤\}•}~}~[[~[[[][♡▪︎○○¤>7}}9>●●●●●●●●●●●

Вас заинтересует