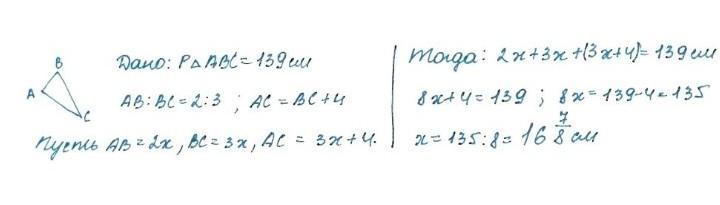
Р треугольника=139см.Отношение дауз сторон треугольника 2:3,а третья стороеа на 4см больше второй.Найдите все стороны.
Приложения:

Ответы
Ответ дал:
0
Готово, удачки)) Если нужен только ответ, то вот:
АВ=33,75cm
BC=50,625cm
AC=54,625cm
Если не веришь, можно сравнить с периметром:
известно, что периметр прямоугольника=139cm
и так, проверяем:
33,75+50,625+54,625=139cm
139cm=139cm
Довела и на листочке, и в виде текста здесь)
Приложения:


Вас заинтересует
2 года назад
2 года назад
2 года назад
2 года назад
8 лет назад
9 лет назад