ПОМОГИТЕ, ОЧЕНЬ ПРОШУ!
ЭТО ОЧЕНЬ ВАЖНО И СРОЧНО (осталось 30 минут), ПОЖАЛУЙСТА!!
Отдаю все баллы, которые остались...
Приложения:

Ответы
Ответ дал:
1
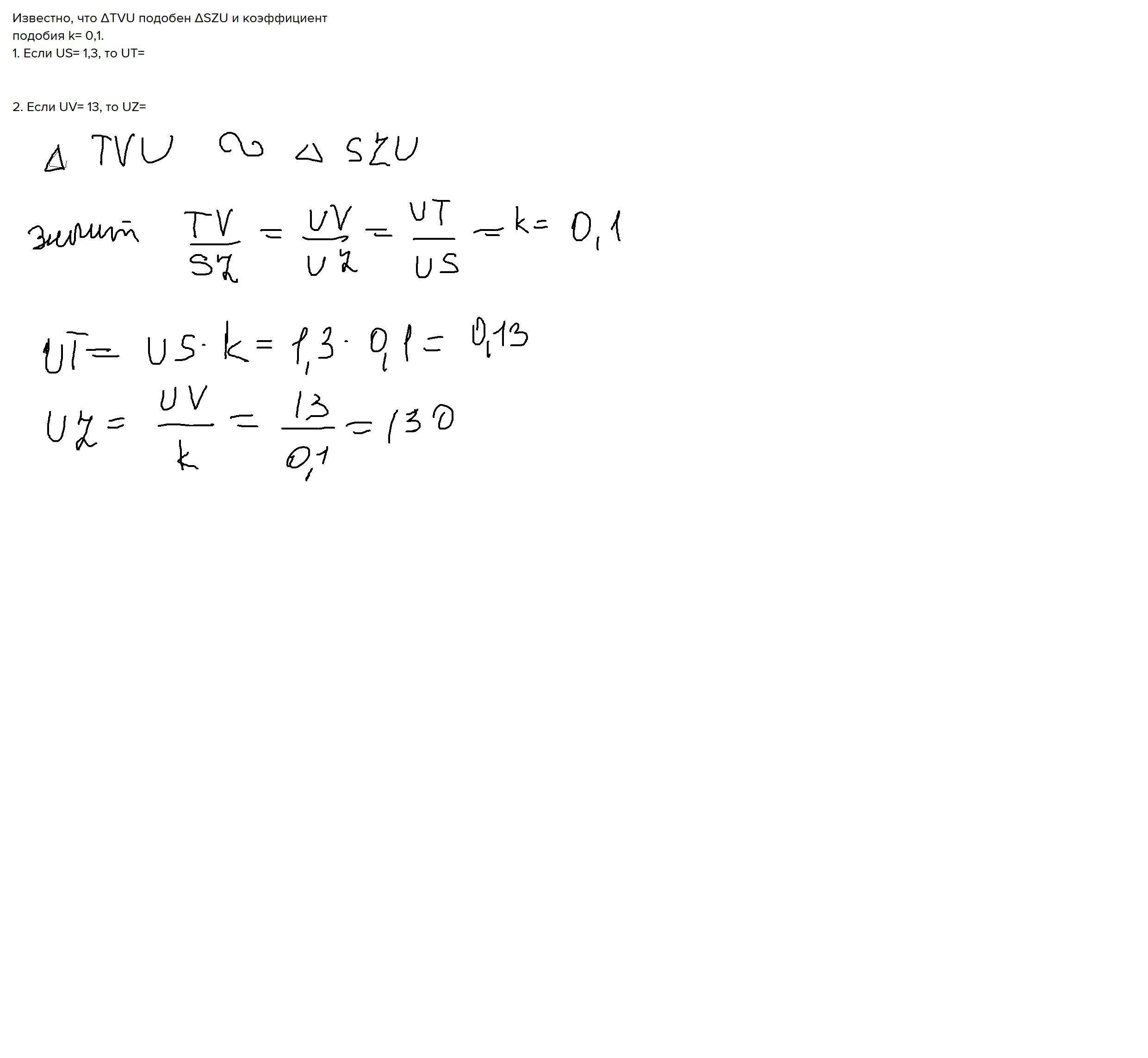
Ответ:
Пошаговое объяснение:
Приложения:

Вас заинтересует
2 года назад
2 года назад
2 года назад
8 лет назад
8 лет назад
9 лет назад