• Предмет: Математика
  • Автор: saduovaalaula
  • Вопрос задан 3 года назад

помогите. за ответ награда 10 баллов. 603. ​

Приложения:

Ответы

Ответ дал: seitalinovagulnar11
1

это не правильно как удалить

Приложения:

saduovaalaula: дұрыс па?
seitalinovagulnar11: солай шыгар маган аруай жберген
saduovaalaula: аа
Ответ дал: zhubatkhanaidana
2

Ответ:

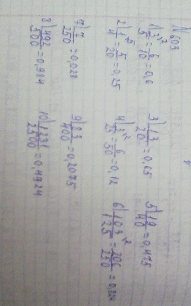
3/5=3×2 / 5/2= 6/10=0,6

1/4=1×25 4×25=25/100=0,25

13/20=13×5 20×5= 65/100=0,65

3/25=1×4 25×4 = 4 / 100 = 0,04

19/40= 19×25 40×25 = 475/1000= 0,475

103/125=103×8 125×8=824/1000=0,824

7/250=7×4 250×4 = 28 /1000=0,028

492/500=492×2 500×2 = 984/1000=0,984

83/400=400×25 83×25=2075/10000=0,2075

1231/2500=1231×4 2500×4=4924/10000=0,4924

Пошаговое объяснение:

(Если десяточная дробь неправелная прости)

Меня так просто учили


saduovaalaula: но всё равно спасибо)
zhubatkhanaidana: ))))
seitalinovagulnar11: спасибо твоя правильна
seitalinovagulnar11: а моя неправильно
Вас заинтересует