• Предмет: Математика
  • Автор: Аноним
  • Вопрос задан 3 года назад

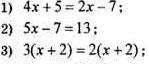
Решите уравнение 1,2,3 из таблицы

Приложения:

Ответы

Ответ дал: lerarozvadovkylviv
1

Ответ:

1) 4x+5=2x-7

4x-2x=-5-7

2x=-12|:2

x=6

2)5x-7=13

5x=13+7

5x=20|:5

x=4

3)3(x+2)=2(x+2)

3x+6=2x+4

3x+2x=4-6

5x=-2

Пошаговое объяснение:

В 3 неуверена


Аноним: Спосибо) ТЕБЕ ❤❤❤
Вас заинтересует