• Предмет: Алгебра
  • Автор: VTxM416
  • Вопрос задан 3 года назад

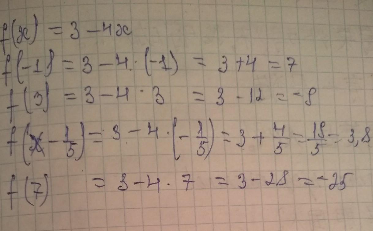
Функцiю задано формулою
f(x)=3-4x
Чи є значення y якщо
1) Х= -1
2) х= 3
3)
x =  -   \frac{1}{5}
х=7​

Ответы

Ответ дал: zxcvb14
1

надеюсь понятно ,рада помочь

Приложения:

VTxM416: пожалуйста фотографируй
VTxM416: не видно цифри
Вас заинтересует