• Предмет: Алгебра
  • Автор: supervwyx
  • Вопрос задан 3 года назад

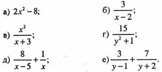
Укажите допустимые значения переменной в выражении в г) д) и е)

Приложения:

Ответы

Ответ дал: 68tata
1

Ответ:

г)ОДЗ: х ∈ (-∞; +∞)

д) х ∈ (-∞; 0)∪(0; 5)∪(5; +∞)

е) х ∈ (-∞; -2)∪(-2; 1)∪(1; +∞)

Решение:

г) ОДЗ знаменатель не может быть равен 0

у²+1≠ 0

у²≠-1- но такого быть не может, так как квадрат любого числа всегда положительное число, поэтому

ОДЗ: х ∈ (-∞; +∞).

д)знаменатели не должны  быть равны 0

ОДЗ:\left \{ {{x-5\neq 0} \atop {x\neq 0}} \right. \left \{ {{x\neq 5} \atop {x\neq 0}} \right. \\

х ∈ (-∞; 0)∪(0; 5)∪(5; +∞)

е) знаменатели не должны  быть равны 0

ОДЗ: \left \{ {{y-1\neq 0} \atop {y+2\neq 0}} \right. \left \{ {{y\neq 1} \atop {y\neq -2}} \right.

х ∈ (-∞; -2)∪(-2; 1)∪(1; +∞)


supervwyx: ты кажется перевыполнил задание для меня
Вас заинтересует