• Предмет: Математика
  • Автор: Viwfolz
  • Вопрос задан 3 года назад

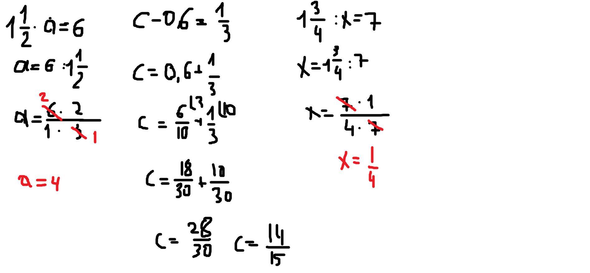
1 1/2*a=6
c-0,6=1/3
1 3/4:x=7


Аноним: ок ↓↓

Ответы

Ответ дал: Аноним
1

Ответ:6;14/15;1/4

Пошаговое объяснение: смотри на фото ↓↓

Приложения:

Viwfolz: Спасибо!:)
Аноним: ;)
Вас заинтересует