• Предмет: Математика
  • Автор: ulanobzheka
  • Вопрос задан 3 года назад

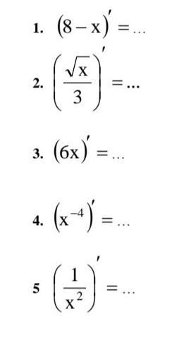
Помогите пожалуйста только ответ​

Приложения:

Ответы

Ответ дал: yaroslav9182
1

Ответ:

Пошаговое объяснение:

Приложения:
Вас заинтересует