Ответы
Ответ дал:
1
Ответ:
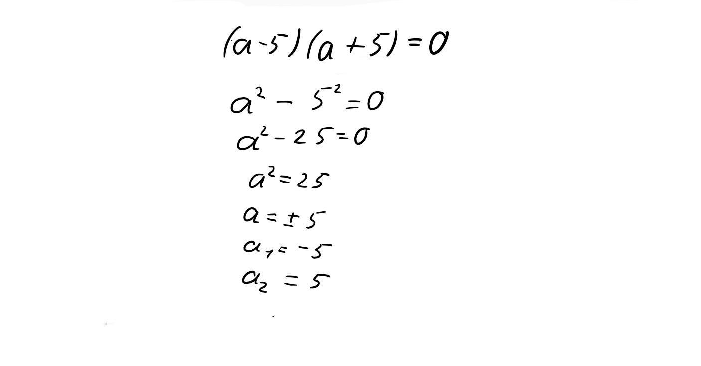
1) a² - 25=0
(a-5)(a+5)=0
a-5=0, a=5 или a+5=0, a=-5.
2) 100 - x²=0
(10-x)(10+x)=0
10-x, - x=-10, x=10 или 10+x=0, x=-10
3) 4x² - 1=0
(2x)(2x)=0
4) 16x²-25=0
(4x+5)(4x-5)=0
4x+5=0, 4x=-5 или 4x-5=0, 4x=5.
Объяснение:
Vadym20:
(a-5)(a+5)=0 а что по середине ?
Ответ дал:
1
Ответ:
пятый же нужно было решить?
Объяснение:
Приложения:

Вас заинтересует
2 года назад
2 года назад
7 лет назад
7 лет назад