• Предмет: Математика
  • Автор: kkssuusshhkkaa
  • Вопрос задан 3 года назад

помогите пж) всем хорошего дня!!​

Приложения:

Ответы

Ответ дал: nmadvertising207
1

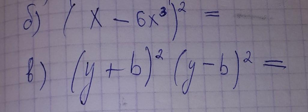
б) (x - 6x³)² = x² -12x^{4} + 36x^{6\\}

в) (y+b)² (y-b)²= (y²-b²)²= y^{4} - 2b²y²  +b^{4}

Ответ дал: Ksyesha
0

Ответ:

(y ^{2}   - b ^{2}  ) ^{2} = y ^{4}  - 2b ^{2} y ^{2}  + b ^{4}  \\  36x ^{6}  - 12x ^{4}  + x ^{2}

Вас заинтересует