• Предмет: Алгебра
  • Автор: nhesenzade608
  • Вопрос задан 3 года назад

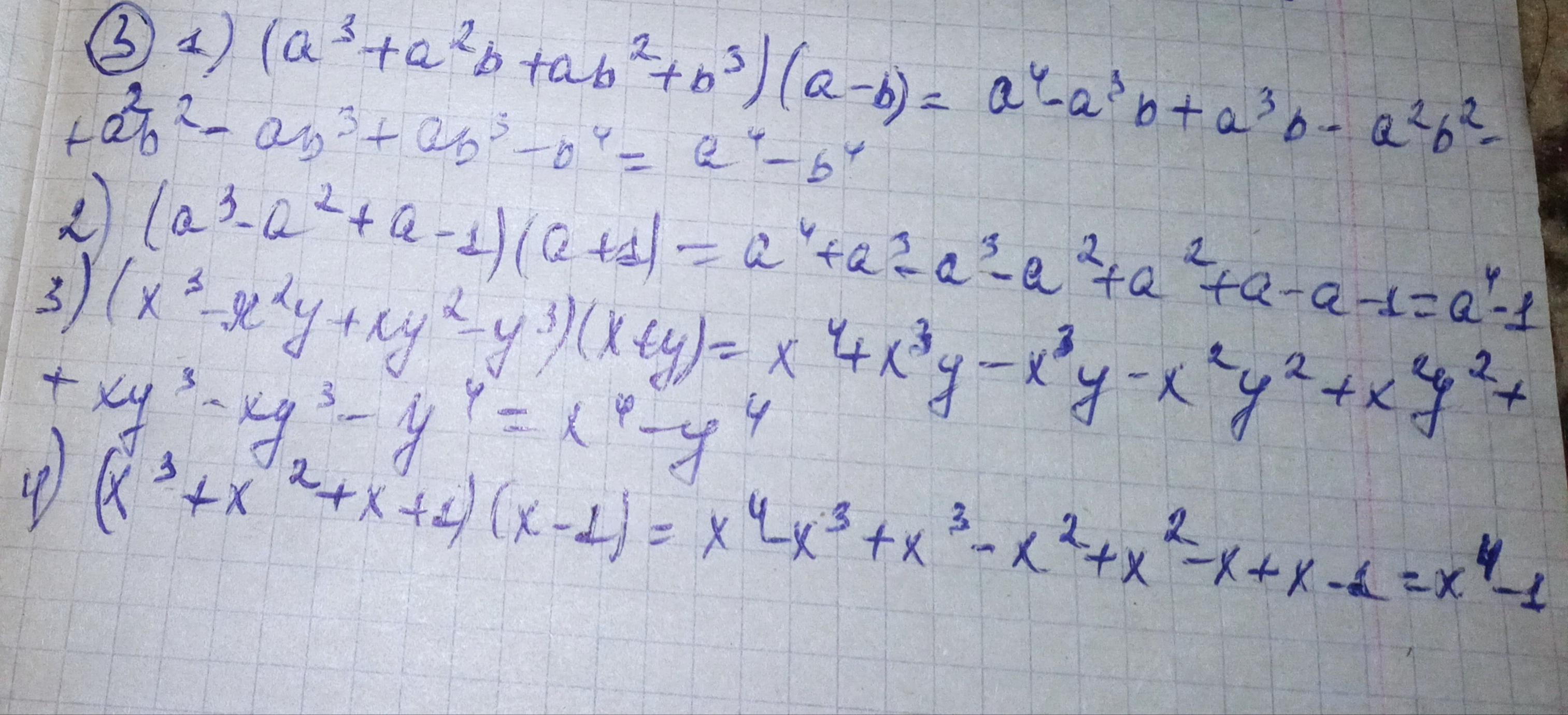
ЗАДАНИЕ НОМЕР 3 !!!
СРОЧНО ПОЖАЛУЙСТА !!!
БУДУ ВАМ ОЧЕНЬ БЛОГОДАРНА !!!!
ТОЛЬКО ЗАДАНИЕ НОМЕР 3 !!!
ПОЖАЛУЙСЬА С РЕШЕНИЕМ !!!
Упростите выражения !!!!!!!!!

Приложения:

Ответы

Ответ дал: zuriatagabekova
1

Ответ:

Объяснение:

Ответ на фото

Приложения:

nhesenzade608: Спасибо огромное!
zuriatagabekova: Пожалуйста
Вас заинтересует