• Предмет: Алгебра
  • Автор: Аноним
  • Вопрос задан 3 года назад

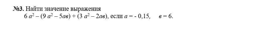
помогите решить, с пояснениями!!!​ срочно

Приложения:

Ответы

Ответ дал: Бетси
1

Ответ:

-2,7

Объяснение:

Если a = -0,15, b = 6, то

6а² - (9а² - 5аb) + (3a²  - 2ab) = 6а² - 9а² + 5аb + 3a² - 2ab = 3ab = 3 * (-0,15) * 6 = -2,7.

Вас заинтересует