• Предмет: Алгебра
  • Автор: supervwyx
  • Вопрос задан 3 года назад

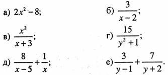
Укажите допустимые значения переменной в выражении в г) д) и е)

Приложения:

Ответы

Ответ дал: 4585o7k5099
0

Ответ:

Х)

Объяснение:

г) (- Бесконечность, + Бесконечность)

д) (-Бесконечность, 0) U (0,5) U (5, + Бесконечность)

е)(-Бесконечность, -2) U (-2,1) U (1, +Бесконечность)

в)(-бесконечность,-3) U (-3, +бесконечность)

ЭТО БЫЛИ ДОПУСТИМЫЕ ЗНАЧЕНИЯ!!!

Вас заинтересует