• Предмет: Математика
  • Автор: 0lmao
  • Вопрос задан 3 года назад

Решите пожалуйста (за ранее спасибо)​

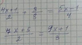
Приложения:

Ответы

Ответ дал: apelsincokkv
1

1) х = -1/6

2) х = 4 1/3


0lmao: А решение какое?
apelsincokkv: вкратце: переносишь правую часть налево со знаком минус, затем домножаешь (приводишь к общему знаменателю), складываешь/отнимаешь, далее приравниваешь числитель к нулю и решаешь уравнение
0lmao: спасибо
Вас заинтересует