• Предмет: Алгебра
  • Автор: gendrishhgella
  • Вопрос задан 3 года назад

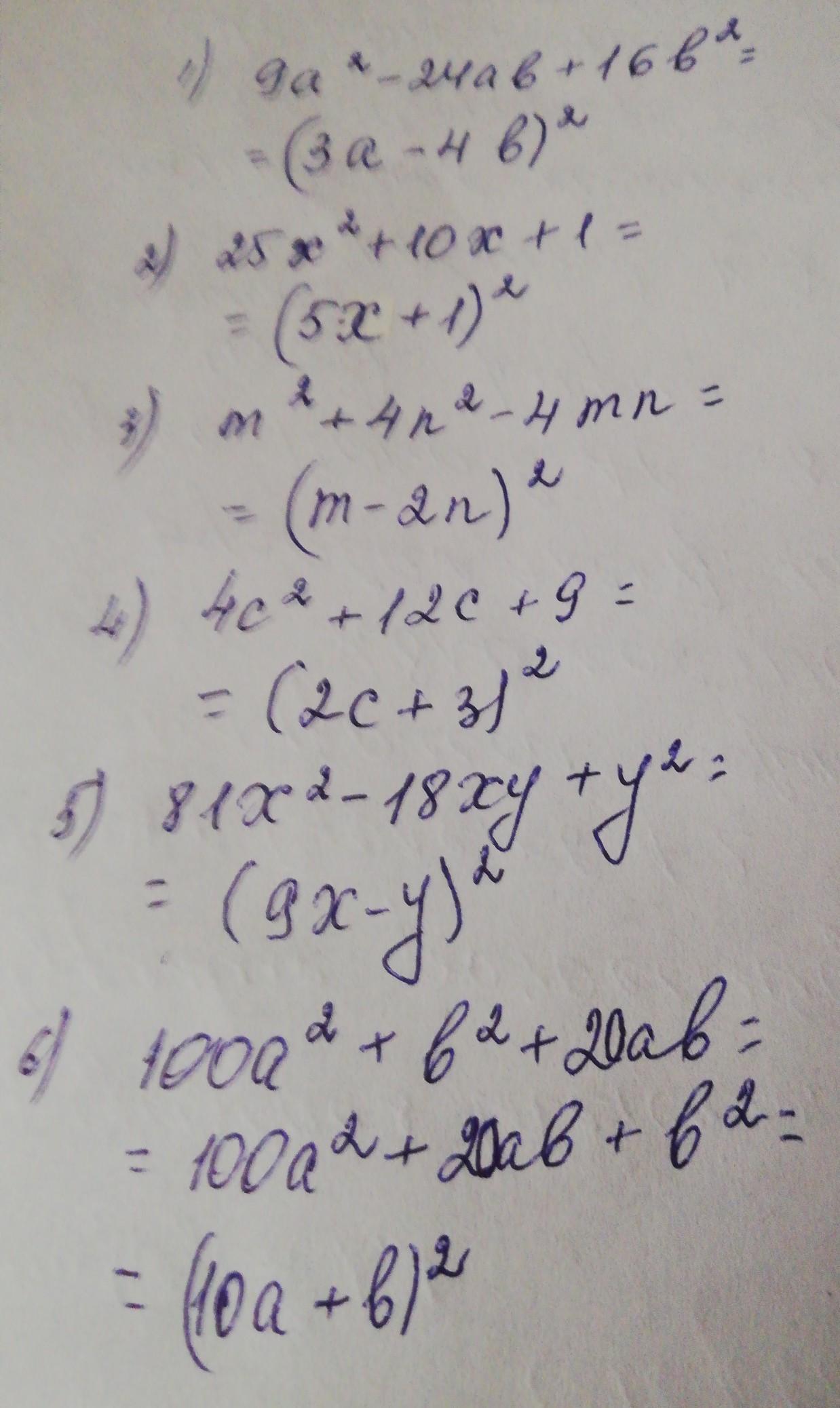
326. Представьте в виде квадрата двуч.
1) 9a2-24ab+16b2; 4) 4c2+12c+9;
2) 25х2+10x+1; 5) 81х2-18xy+y2;
3) m2+4n2-4mn; 6) 100a2+b2+2ab.​


Аноним: подожди...

Ответы

Ответ дал: serovaksusa1
18

Ответ:

Смотри решение на фото

Приложения:

serovaksusa1: В последнем примере может быть там не 2ав,а 20 АВ?
serovaksusa1: Я вам задала вопрос, а вы не отвечаете
Вас заинтересует