Ответы
Ответ дал:
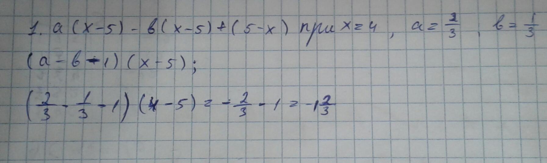
1
по мне так...... _\(°^°')
Приложения:



Ответ дал:
1
На % правильно.Можно списовать
Приложения:


Вас заинтересует
2 года назад
2 года назад
2 года назад
2 года назад
7 лет назад
7 лет назад
9 лет назад