• Предмет: Математика
  • Автор: nikidva
  • Вопрос задан 3 года назад

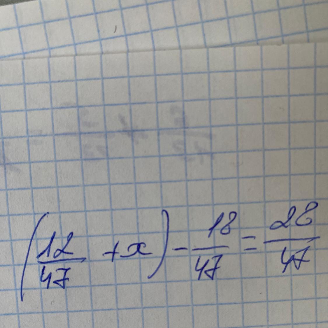
Надо найти х. Пошагово

Приложения:

Ответы

Ответ дал: nnast
0

(\frac{12}{47} + x) - \frac{18}{47} = \frac{28}{47}

\frac{12}{47} + x - \frac{18}{47} = \frac{28}{47}

-\frac{6}{47} + x = \frac{28}{47}

x = \frac{28}{47} + \frac{6}{47}

x = \frac{34}{47}

Вас заинтересует