• Предмет: Математика
  • Автор: adelya271108
  • Вопрос задан 3 года назад

пожалуйста.ю..ю.........​

Приложения:

Ответы

Ответ дал: vasilisa0606
1

Ответ:

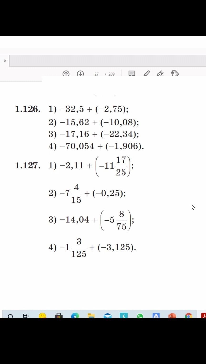
126

1) -35,25

2) -25,7

3) -39,5

4) -72

Пошаговое объяснение:

127

1) -13,79

2) -7  31/60

3) -19  11/75

4) -4,149


adelya271108: а можно решение?
adelya271108: пожалуйста
vasilisa0606: Чтобы сложить два отрицательных числа, нужно: сложить их модули; поставить перед полученной суммой знак минус
Ответ дал: kris8341
1

Пошаговое объяснение:

нуууууу как то тааааааааааааак)

Приложения:

adelya271108: спасибо
Вас заинтересует