Ответы
Ответ дал:
1
Ответ:
Пошаговое объяснение:
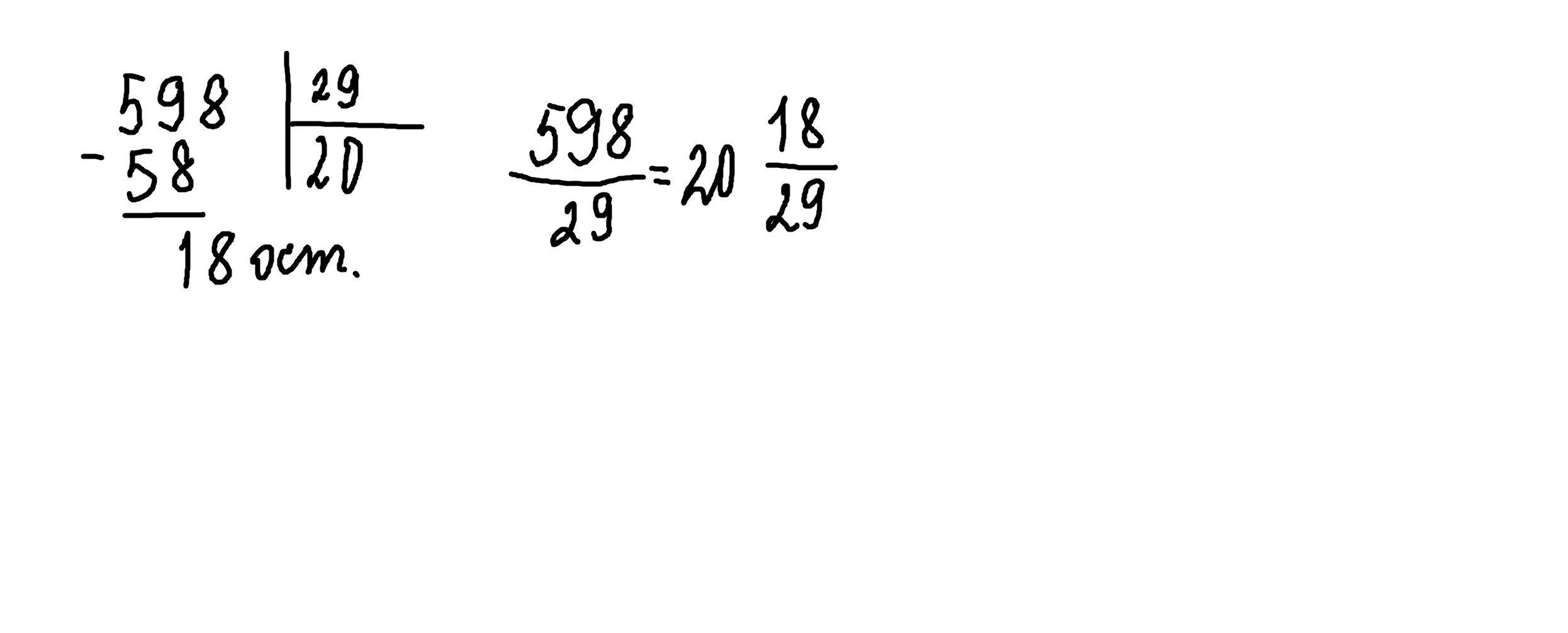
надо столбиком разделить 598 на 29,то что получится при делении это будет целая часть,а остаток запишем в числитель
Приложения:

Вас заинтересует
2 года назад
2 года назад
2 года назад
2 года назад
9 лет назад
9 лет назад