Ответы
Ответ дал:
1
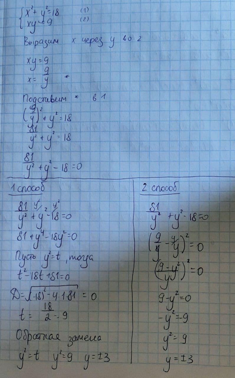
Ответ прикрепил на фото ниже
Приложения:



olesyasergeevna06:
спасибо большое
Вас заинтересует
2 года назад
2 года назад
2 года назад
8 лет назад
8 лет назад
9 лет назад
9 лет назад