• Предмет: Физика
  • Автор: danyazagoruyko
  • Вопрос задан 3 года назад

Помогите решить задачи по физике. Необязательно решение, хотя бы формулы
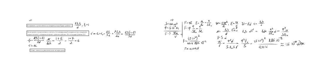
1. Расстояние между вертикальными пластинами в плоском воздушном конденсаторе равна 6мм. Его погружают до половины в смазку (ε=7). Как при этом изменится емкость конденсатора?

2. На пластинах плоского воздушного конденсатора с площадью пластин 150 см2 находится заряд 5*10^-8 Кл. Каковы сила взаимного притяжения между пластинами и объемная плотность энергии поля конденсатора?

3. Два конденсатора емкостью 5 и 7 мкФ последовательно подсоединены к источнику
с разностью потенциалов 200 В. Каковы будут заряды и разность потенциалов батареи,
если конденсаторы отсоединить от источника и соединить параллельно?

Ответы

Ответ дал: h1go
1

           Сделал только первые две, в третьей почему-то получается отрицательный заряд на конденсаторах

Приложения:
Вас заинтересует