• Предмет: Математика
  • Автор: sulaimanovalban14
  • Вопрос задан 3 года назад

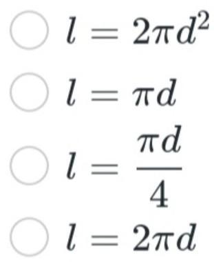
Укажите формулу, по которой вычисляют длину L окружности,если известен её диаметр D

Приложения:

Ответы

Ответ дал: solikhon123
5

Ответ:

πD

Пошаговое объяснение:

длина окружности равна l = 2πR

D=2R

значит l=πD

вуаля (づ。◕‿‿◕。)づ

Ответ дал: dasabagritsevich2345
1

Ответ:

правильная формула  ответ : P=πd

Вас заинтересует