Ответы
Ответ дал:
10
Ответ:
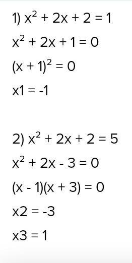
вот .......................
Приложения:

Вас заинтересует
2 года назад
2 года назад
2 года назад
2 года назад
8 лет назад
9 лет назад