• Предмет: Алгебра
  • Автор: mkbsndbifjng43
  • Вопрос задан 3 года назад

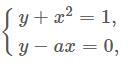
При каком значении параметра `a`, система уравнений имеет одно решение?

Приложения:

Ответы

Ответ дал: hdhdgmamamagfe
0

Ответ:

x=x'2-ax=1 вот при таком уровненийи

Вас заинтересует