• Предмет: Математика
  • Автор: mitopanit19
  • Вопрос задан 3 года назад

Помогите решить!!!
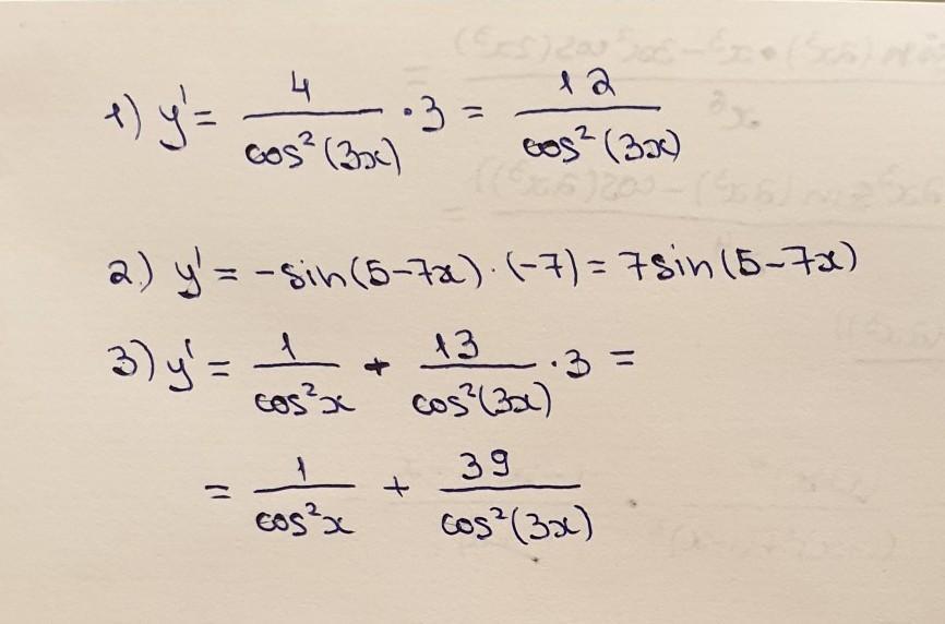
1. Найдите производную функции y=4 tg 3 x
2. Найдите производную функции y=cos(5−7x).
3. Найдите производную функции y=tgx+13tg3x.

Ответы

Ответ дал: Miroslava227
2

Ответ:

решение на фотографии.

Приложения:
Вас заинтересует