• Предмет: Геометрия
  • Автор: Yakyza777
  • Вопрос задан 3 года назад

Помогите геометрия Цилиндр, сечения шара плоскостью. Чертеж, Дано, решение. Выручите)

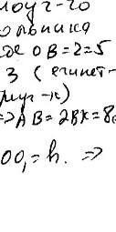
1)В цилиндре радиусом 5см проведено параллельное оси сечение стоящее от нее на расстоянии 3см, Найдите высоту цилиндра, если площадь указанного сечения 64 см².

----------------------------------------------------------------------------------------------------------------
2) Сечение шара плоскостью имеет площадь 36П. Чему равен радиус шара, если сечение удалено от центра на 8 см

Ответы

Ответ дал: maksimmakaseev466
0

Объяснение:

1 .ответ 8. 2. = πR²

S = 36π

πR² = 36π

R² = 36

R = 6 (м) - радиус сечения шара.

Радиус шара, радиус окружности сечения и расстояние между центром шара и плоскостью сечения образуют прямоугольный треугольник. Найдём радиус шара по т. Пифагора:

Ответ: 10 м.

В первой ответ 8, во второй 10

Приложения:
Вас заинтересует