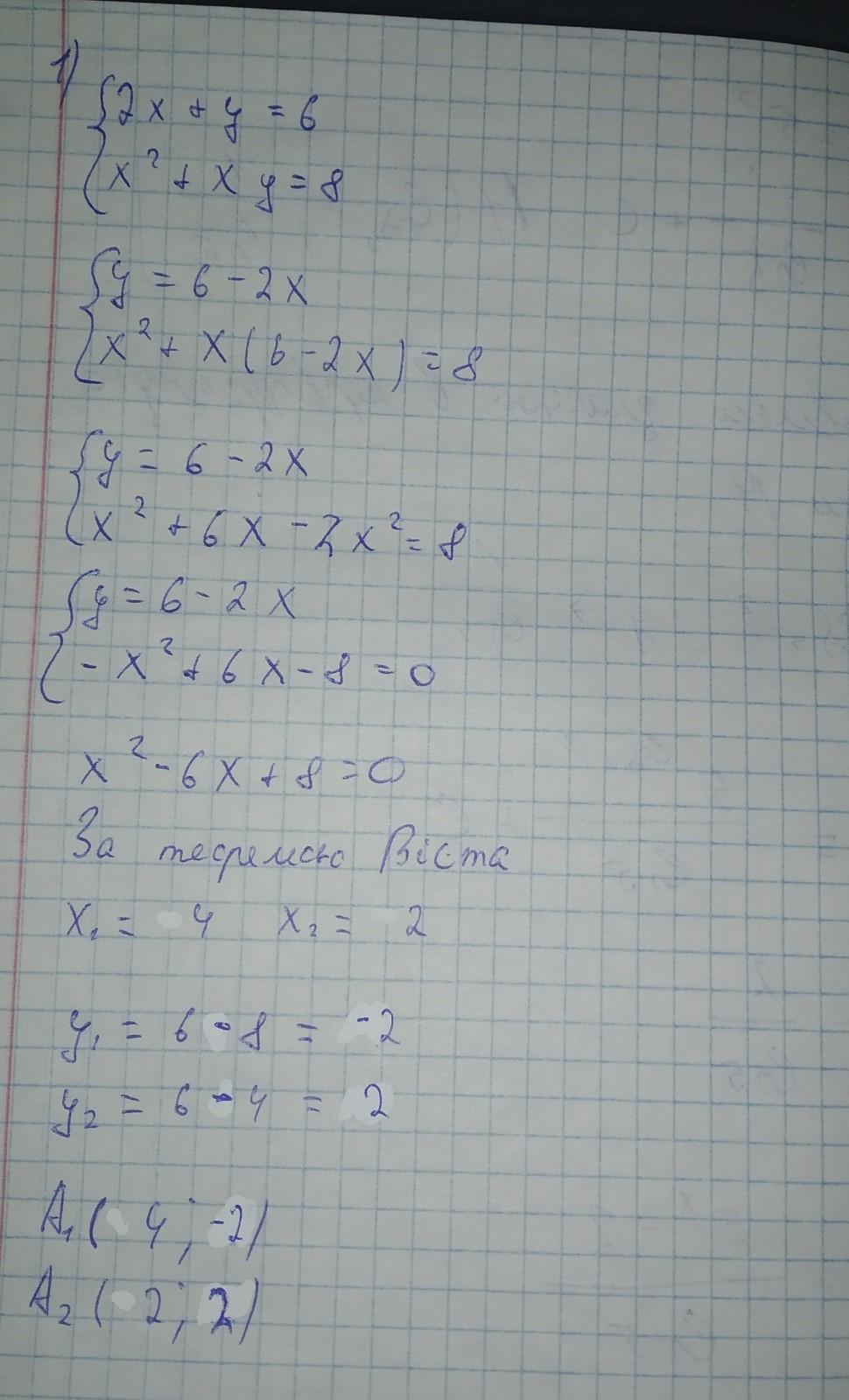
розв'яжіть систему рівнянь з двома змінними способом підстановки будь ласка хто може
Приложения:

Ответы
Ответ дал:
0
Ответ:
,....................................
Приложения:


Вас заинтересует
2 года назад
2 года назад
2 года назад
8 лет назад
8 лет назад
9 лет назад