Ответы
Ответ дал:
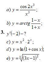
1
Ответ:
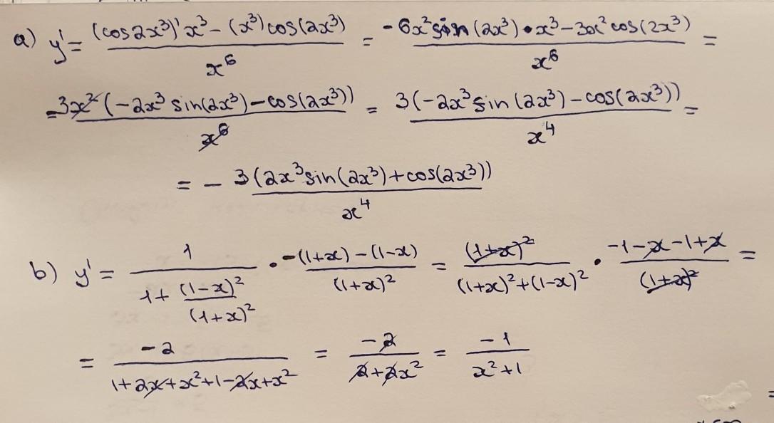
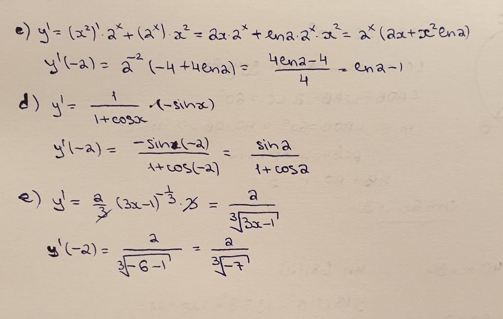
решение на фотографиях
Приложения:


unicorn18well:
Спасибо большое
Вас заинтересует
2 года назад
2 года назад
2 года назад
2 года назад
8 лет назад
8 лет назад
9 лет назад