• Предмет: Алгебра
  • Автор: adelinatroninamairu
  • Вопрос задан 3 года назад

Пж сделайте....35 баллов даю

Приложения:

Ответы

Ответ дал: hote
1

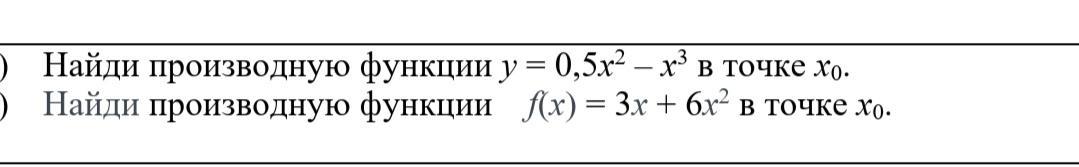
Найти производную

\displaystyle y=0,5x^2-x^3\\\\y`=(0.5x^2-x^3)`=0.5*2*x-3*x^2=x-3x^2

производная в точке х₀

y(x₀)=x₀-3x²₀  и есть есть значение х₀ то его надо просто подставить

\displaystyle f(x)=3x+6x^2\\\\f`(x)=(3x+6x^2)`=3+6*2x=3+12x

производная в точке х₀

\displaystyle f`(x_0)=3+12*x_0

и есть есть значение х₀ то его надо просто подставить

Вас заинтересует