• Предмет: Алгебра
  • Автор: Platina2000
  • Вопрос задан 3 года назад

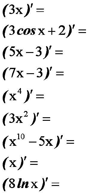
Помогите с алгеброй пожалуйста очень надо. Выполнить дифференцирование функций

Приложения:

Ответы

Ответ дал: Miroslava227
2

Ответ:

решение на фотографии.

Приложения:
Вас заинтересует