• Предмет: Алгебра
  • Автор: ata221
  • Вопрос задан 3 года назад

Знатоки алгебры, помогите, пожалуйстаОчень нужно!
(Задание на фото.)

Приложения:

Ответы

Ответ дал: olga0olga76
1

Ответ:

смотри объяснение

Объяснение:

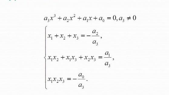
Для решения данной задачи можно воспользоваться теоремой Виета для уравнений 3 степени (смотри прикрепленное изображение).

Тогда

  • х³-5х²-2х-3:

1) х1+х2+х3=-(-5) / (1) = 5/1 = 5

2) х1х2+х1х3+х2х3 = (-2) / (1) = -2/1 = -2

3) х1х2х3 = -(-3) / (1) = 3/1 = 3

  • 2х³-5х²-6х-4:

1) х1+х2+х3=-(-5) / (2) = 5/2 = 2,5

2) х1х2+х1х3+х2х3 = (-6) / (2) = -6/2 = -3

3) х1х2х3 = -(-4) / (2) = 4/2 = 2

Приложения:

ata221: Большое спасибо Вам за помощь! Очень понятный и подробный ответ. Спасибо.
Вас заинтересует