• Предмет: Алгебра
  • Автор: MariLoren
  • Вопрос задан 3 года назад

Помогите пожалуйста решить алгебру (Интеграл)
Мы только изучили эту тему и не рассматривали такие примеры, она сказала, можно посмотреть в интернете, такие задания будут на контрольной.
Если у меня будет решение этих заданий, мне будет легче подготовиться.

Приложения:

Ответы

Ответ дал: Miroslava227
1

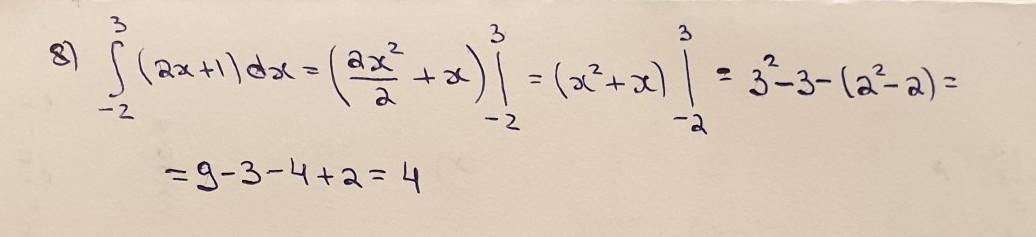
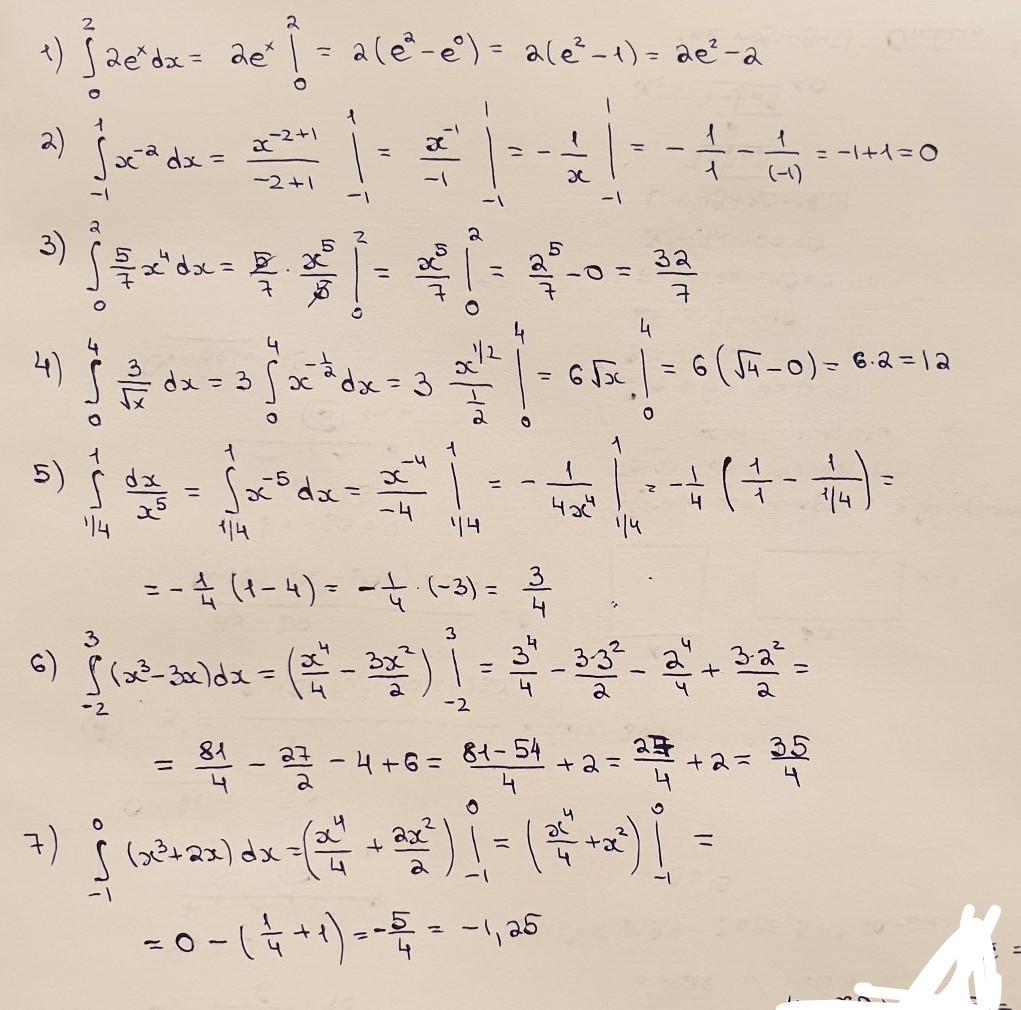
Ответ:

решение на фотографиях

Приложения:

MariLoren: Да ты мощный математик
Вас заинтересует