• Предмет: Математика
  • Автор: zikrianovaliza
  • Вопрос задан 3 года назад

помогите решить уравнение

Приложения:

Ответы

Ответ дал: matilda17562
1

Ответ:

- 2,6; 2,6.

- 8; - 2.

- 2/3; 4.

Пошаговое объяснение:

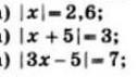
1. lxl = 2,6

x = ± 2,6

Ответ: - 2,6; 2,6.

2. lx+5l = 3

x + 5 = 3 или x + 5 = - 3

1) x + 5 = 3

х = 3 - 5

х = - 2;

2) x + 5 = - 3

х = - 3 - 5

х = - 8

Ответ: - 8; - 2.

3. l 3x - 5 l = 7

3x - 5 = 7 или 3x - 5 = - 7

1) 3x - 5 = 7

3х = 7 + 5

3х = 12

х = 12 : 3

х = 4;

2) 3x - 5 = - 7

3х = - 7 + 5

3х = - 2

х = - 2 : 3

х = - 2/3.

Ответ: - 2/3; 4.

Вас заинтересует