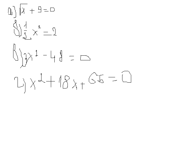
Скажите формулу дискриминанта и примеры помогите решить у мне контрольную завтра сдавать а я скора спать помогите скорее и по подробнее на листе бумаги
Приложения:

Ответы
Ответ дал:
0
D=d(квадрат2) -4ac
формула дискриминанта
формула дискриминанта
Ответ дал:
0
а потом?чему равен Х12
Ответ дал:
0
х1 =-d-(квадратный кореньD)/2a
Ответ дал:
0
x2=-d+(квадратный кореньD)/2а
Вас заинтересует
2 года назад
2 года назад
8 лет назад
8 лет назад
10 лет назад
10 лет назад