Ответы
Ответ дал:
1
Ответ:
третий ответ
Объяснение:
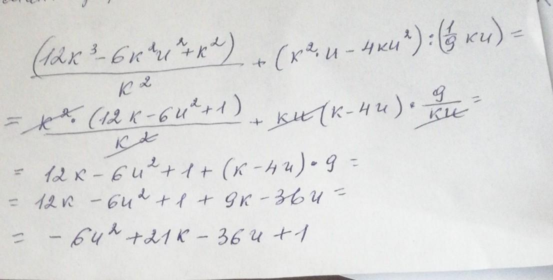
(12k-6
+1):
+ku(k-4u)*9/ku=12k-6
+1+9(k-4u)=12k+-6
+1+9k-9*4u=21k-6
-36u+1
Ответ дал:
1
Ответ:
Смотри решение на фото
Приложения:

Вас заинтересует
2 года назад
2 года назад
2 года назад
2 года назад
8 лет назад
9 лет назад