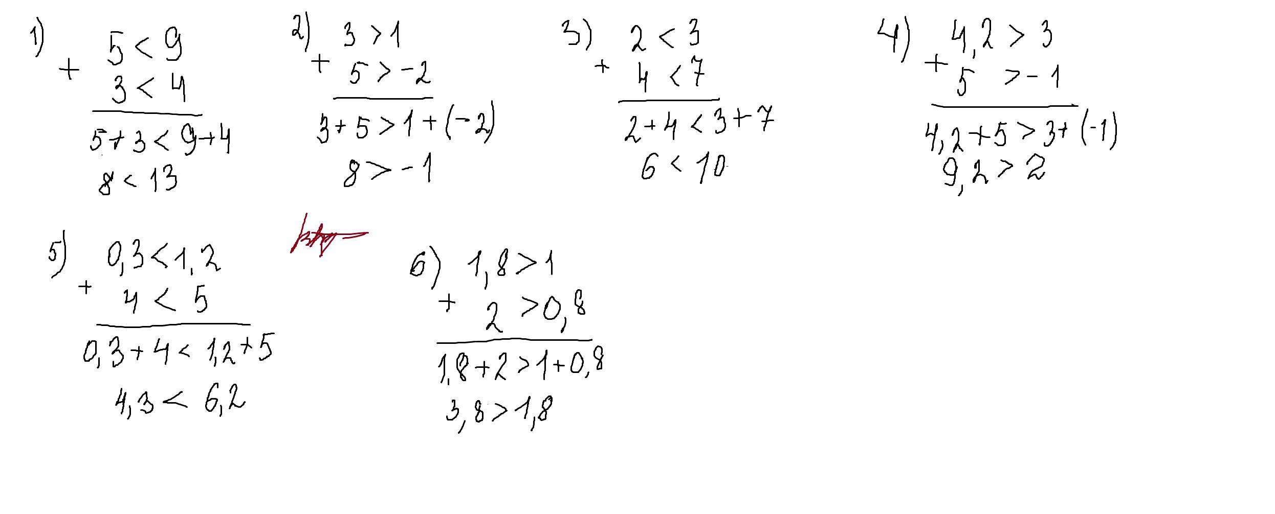
876. Сложите почленно неравенства:
1) 5 < 9 и 3 < 4;
4) 4,2 > 3 и 5 > -1;
2) 3 > 1 и 5 > – 2;
5) 0,3 < 1,2 и 4 < 5;
3) 2 <3 и 4 < 7;
6) 1,8 > 1 и 2 > 0,8.
Ответы
Ответ дал:
131
Ответ:
1)8<13
2)8> -1
3)6<10
4)9,2>2
5)4,3<6,2
6)3,8>1,8
Пошаговое объяснение:
Аноним:
так баллов больше будет
Ответ дал:
126
Ответ:
Пошаговое объяснение:
решение внизу
Приложения:

Вас заинтересует
2 года назад
2 года назад
2 года назад
8 лет назад
9 лет назад